Хормон хорионического гонадотропина (ХГЧ) играет важную роль в зачатии и беременности, особенно после экстракорпорального оплодотворения (ЭКО). В статье представлена таблица нормальных значений ХГЧ по дням после переноса эмбрионов, что поможет женщинам и врачам отслеживать динамику этого показателя. Понимание уровней ХГЧ и их интерпретация являются индикаторами успешности имплантации и развития беременности, что полезно для проходящих процесс ЭКО.
Когда проходить анализ на определение ХГЧ при ЭКО
Несмотря на то, что уровень ХГЧ после процедуры ЭКО увеличивается постепенно, его наличие в крови можно обнаружить уже через неделю после успешной имплантации эмбриона. Некоторые источники утверждают, что анализ можно проводить на 2-3 день после переноса эмбрионов. Однако в этот период процесс имплантации только завершается, и количество хорионического гонадотропина еще недостаточно для его обнаружения в лабораторных условиях. Поэтому наиболее подходящее время для определения уровня гормона – это 1-2 недели после переноса эмбрионов.
Положительный результат на ХГЧ после ЭКО свидетельствует о том, что имплантация зародыша прошла успешно, и женщина находится в состоянии беременности. В этом случае уровень хорионического гонадотропина в крови составляет от 25 до 156 мЕд/мл. Если было осуществлено переноса нескольких эмбрионов, и все они успешно имплантировались, уровень гормона будет еще выше.
После проведения экстракорпорального оплодотворения (ЭКО) уровень хорионического гонадотропина человека (ХГЧ) становится важным показателем для врачей. Специалисты отмечают, что высокий уровень ХГЧ в крови может свидетельствовать о успешной имплантации эмбриона, что является положительным знаком для пациенток. Однако, врачи подчеркивают, что интерпретация результатов анализа должна быть комплексной.
Некоторые случаи могут демонстрировать аномально низкие или высокие значения ХГЧ, что может указывать на возможные осложнения, такие как внематочная беременность или угроза выкидыша. Важно, чтобы пациентки не паниковали при получении результатов, а обращались за консультацией к своему лечащему врачу.
Медики рекомендуют проводить повторные анализы через несколько дней для отслеживания динамики уровня ХГЧ. Это позволяет более точно оценить ситуацию и принять необходимые меры. В целом, уровень ХГЧ является лишь одним из множества факторов, которые врачи учитывают при оценке успешности ЭКО и состояния здоровья пациенток.
https://youtube.com/watch?v=YSeTP5xqSDM
Особенности исследования биоматериала на определение уровня ХГЧ
Кровь на ХГЧ после процедуры ЭКО рекомендуется сдавать утром. Женщинам следует воздержаться от завтрака минимум за 6 часов до анализа, однако небольшое количество воды разрешается. Исследование проводится на 7-14 день после имплантации эмбриона. Для получения надежных результатов анализ рекомендуется повторить через 3-4 дня. Кровь берут из вены, и для анализа достаточно 5 мл.
Для анализа мочи на ХГЧ после ЭКО требуется собрать 100-150 мл. Если уровень хорионического гонадотропина значительно ниже нормы, но известно, что имплантация эмбриона произошла, это может указывать на возможное замирание плода. В таком случае пациентке назначают УЗИ для оценки состояния плода и наличия сердцебиения. Если уровень ХГЧ ниже нормы и нет подтверждений имплантации, это свидетельствует о том, что беременность не наступила.
Лабораторные исследования образцов крови или мочи на хорионический гонадотропин после ЭКО всегда дают высокоточные результаты.
В домашних условиях также можно проверить наличие беременности. Для этого используют специальные тесты, которые можно приобрести в аптеке. Исследование следует проводить через 1-2 недели после подсадки эмбриона. Если тест относится к категории сверхчувствительных, он сможет выявить хорионический гонадотропин в организме женщины. Процедура выглядит следующим образом:
- Провести гигиенические процедуры, чтобы избежать загрязнения образца.
- Собрать порцию мочи в чистую, сухую емкость.
- Опустить тест-полоску в мочу до отметки, указанной производителем.
- Подождать 3-5 минут, разместив тест на сухой чистой поверхности.
Результат можно интерпретировать по количеству появившихся полосок. Хорионический гонадотропин вырабатывается только при беременности, поэтому положительный результат теста подтверждает наличие этого гормона. Однако для более точного определения концентрации вещества лучше всего провести анализ крови.
Чтобы получить надежный результат, за 2 дня до анализа рекомендуется прекратить прием мочегонных средств и ограничить потребление жидкости.
| День после переноса эмбриона (ДПП) | Норма ХГЧ (мМЕ/мл) | Комментарий |
|---|---|---|
| 6 ДПП (3-дневный эмбрион) | 17 — 119 | Первое возможное определение беременности. |
| 8 ДПП (3-дневный эмбрион) | 33 — 223 | Уровень ХГЧ должен удваиваться каждые 48-72 часа. |
| 10 ДПП (3-дневный эмбрион) | 70 — 750 | Важно отслеживать динамику роста. |
| 12 ДПП (3-дневный эмбрион) | 110 — 1690 | На этом этапе часто проводится первое УЗИ. |
| 14 ДПП (3-дневный эмбрион) | 160 — 3150 | Подтверждение беременности. |
| 6 ДПП (5-дневный эмбрион) | 20 — 150 | Более высокие значения, так как эмбрион старше. |
| 8 ДПП (5-дневный эмбрион) | 40 — 300 | Хороший показатель для оценки жизнеспособности. |
| 10 ДПП (5-дневный эмбрион) | 80 — 1000 | Удвоение каждые 48 часов является хорошим признаком. |
| 12 ДПП (5-дневный эмбрион) | 130 — 2000 | Уровень ХГЧ должен быть достаточно высоким для визуализации плодного яйца. |
| 14 ДПП (5-дневный эмбрион) | 200 — 4000 | Окончательное подтверждение беременности. |
| Любой день | < 5 | Отрицательный результат, беременность маловероятна. |
| Любой день | 5 — 25 | Сомнительный результат, требуется повторный анализ. |
| Любой день | > 25 | Положительный результат, беременность подтверждена. |
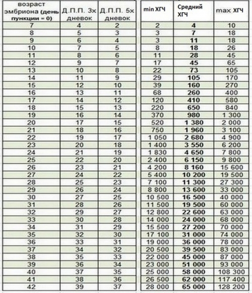
Нормальные показатели уровня ХГЧ при беременности вследствие ЭКО
Показатели ХГЧ при экстракорпоральном оплодотворении (ЭКО) достигают своего пика к 11-12 неделе беременности. После этого срока уровень хорионического гонадотропина начинает постепенно снижаться. Тем не менее, выработка этого гормона продолжается, и его небольшое количество может сохраняться у женщин даже после родов. В период лактации уровень ХГЧ не превышает 5 мЕД/мл.
Для оценки уровня хорионического гонадотропина специалисты в области репродуктивной медицины применяют специальную таблицу, которая показывает значения ХГЧ по дням после ЭКО. В этой таблице представлены ключевые параметры:
• день после имплантации эмбриона;
• возраст подсаженного зародыша (трехдневный или пятидневный);
• минимальные, средние и максимальные значения гормона, которые должны соответствовать сроку беременности женщины.
При мониторинге уровня ХГЧ по неделям после ЭКО важно учитывать возраст подсаженных эмбрионов – трехдневные или пятидневные. При переносе более зрелых зародышей уровень хорионического гонадотропина, как правило, значительно выше.
https://youtube.com/watch?v=EhDjnFei_9U
Таблица. Значения ХГЧ после переноса
Сниженный показатель ХГЧ при ЭКО
Если в анализе крови обнаруживается низкий уровень ХГЧ после процедуры ЭКО, это может свидетельствовать о замирании эмбриона или о том, что он не прижился сразу после переноса. В редких случаях несоответствие показателя хорионического гонадотропина предполагаемому сроку беременности может быть связано с преждевременным проведением анализа.
Не имеет значения, использовался ли собственный или донорский биоматериал — всегда существует вероятность негативного результата после переноса эмбрионов. Если возникают сомнения по поводу наступления беременности, для контроля нормального развития эмбриона анализ на уровень хорионического гонадотропина рекомендуется повторить через 3-4 дня.
Если динамика ХГЧ после ЭКО отсутствует, это может указывать на возможность внематочной беременности. Для исключения данного осложнения женщину осматривают на гинекологическом кресле. При трубной или яичниковой локализации плодного яйца врач может заметить, что размер матки не соответствует предполагаемому сроку беременности, а в области придатков могут быть болезненные участки.
При снижении уровня хорионического гонадотропина для предотвращения отторжения эмбриона и поддержания функции желтого тела врач может назначить препараты. Эти лекарства содержат синтетические аналоги физиологических гормонов и способствуют увеличению уровня прогестерона в крови. Дозировка подбирается с учетом результатов анализов — лабораторного исследования крови и мочи, а также данных УЗИ. В дополнение к другим гормональным препаратам, лекарства, назначаемые для коррекции уровня ХГЧ, могут вызвать вагинальное кровотечение.
https://youtube.com/watch?v=W6LjW4ZYC6E
Повышенный показатель ХГЧ при ЭКО
В некоторых случаях, спустя 1-2 недели после процедуры ЭКО, анализы могут показать значительное повышение уровня хорионического гонадотропина. Увеличение этого гормона свидетельствует о наличии многоплодной беременности. Это может произойти, если одновременно были имплантированы несколько эмбрионов, что увеличивает шансы на успешное зачатие. Если приживаются 2-3 зародыша, беременность будет развиваться как многоплодная. Уровень ХГЧ при двойне после ЭКО обычно в два раза превышает норму.
Однако, помимо физиологической причины, связанной с беременностью, существует ряд других состояний, при которых уровень хорионического гонадотропина у женщины может быть повышен. Эти состояния связаны с эндокринной системой, так как именно она отвечает за выработку данного гормона. К патологическим состояниям, способствующим увеличению концентрации ХГЧ, относятся:
• инсулинозависимый сахарный диабет;
• длительное применение медикаментов, содержащих гестагены;
• инфекционно-воспалительные или разрушительные заболевания коры надпочечников;
• образование опухолей трофобластического типа.
Также стоит отметить, что повышение уровня хорионического гонадотропина после экстракорпорального оплодотворения может быть связано с генетическими аномалиями в развитии эмбриона. Наличие таких отклонений является основанием для принятия решения о прерывании беременности.
Заключение
Мониторинг уровня хорионического гонадотропина является важным этапом для оценки успешности процедуры экстракорпорального оплодотворения. Независимо от количества эмбрионов, которые были имплантированы женщине в ходе ЭКО, через 1-2 недели после их внедрения необходимо сдать анализ крови для определения уровня ХГЧ. При одноплодной беременности этот показатель составляет от 25 до 156 мЕд/мл, а при многоплодной – от 50 до 340 мЕд/мл.
Факторы, влияющие на уровень ХГЧ после ЭКО
Уровень хорионического гонадотропина человека (ХГЧ) является важным показателем, который помогает оценить успешность процедуры экстракорпорального оплодотворения (ЭКО). После переноса эмбрионов в матку, уровень ХГЧ начинает повышаться, если произошло имплантирование и наступила беременность. Однако на уровень этого гормона могут влиять различные факторы, которые стоит учитывать.
1. Стадия развития эмбриона: Уровень ХГЧ зависит от того, на какой стадии развития был эмбрион на момент его переноса. Эмбрионы, перенесенные на стадии бластоцисты (на 5-6 день после оплодотворения), могут вызывать более высокий уровень ХГЧ, чем эмбрионы, перенесенные на стадии морулы (на 3 день). Это связано с тем, что бластоцисты более зрелые и имеют большую вероятность успешной имплантации.
2. Количество перенесенных эмбрионов: При переносе нескольких эмбрионов вероятность повышения уровня ХГЧ также увеличивается. Если происходит имплантация нескольких эмбрионов, уровень ХГЧ будет выше, чем при имплантации одного. Это важно учитывать, так как многоплодная беременность может иметь свои риски и особенности.
3. Индивидуальные особенности организма: Каждый организм уникален, и уровень ХГЧ может варьироваться в зависимости от индивидуальных физиологических особенностей женщины. Например, возраст, гормональный фон, наличие сопутствующих заболеваний и общее состояние здоровья могут влиять на уровень ХГЧ. У женщин старшего возраста уровень ХГЧ может быть ниже, чем у более молодых пациенток, даже при успешной беременности.
4. Качество эмбрионов: Качество эмбрионов, полученных в ходе ЭКО, также играет важную роль. Эмбрионы с генетическими аномалиями или низким потенциалом к имплантации могут привести к более низкому уровню ХГЧ или даже к его отсутствию. Поэтому важно проводить предварительное генетическое тестирование эмбрионов, чтобы повысить шансы на успешную беременность.
5. Время проведения анализа: Уровень ХГЧ начинает повышаться через 6-10 дней после имплантации. Если анализ на ХГЧ проводится слишком рано, результаты могут быть ложноположительными или ложноотрицательными. Поэтому важно следовать рекомендациям врача относительно времени проведения теста.
6. Лекарственные препараты: Некоторые препараты, используемые в процессе ЭКО, могут влиять на уровень ХГЧ. Например, введение ХГЧ для индукции овуляции может привести к повышению уровня этого гормона в крови, что может затруднить интерпретацию результатов теста на беременность.
Таким образом, уровень ХГЧ после ЭКО является многогранным показателем, на который влияют различные факторы. Понимание этих факторов может помочь пациенткам и врачам более точно оценить шансы на успешную беременность и принять необходимые меры для ее поддержания.
Сравнение уровня ХГЧ при ЭКО и естественной беременности
Хорионический гонадотропин человека (ХГЧ) – это гормон, который вырабатывается плацентой сразу после имплантации эмбриона в стенку матки. Уровень ХГЧ является важным показателем, который используется для диагностики беременности и мониторинга ее течения. Сравнение уровня ХГЧ при экстракорпоральном оплодотворении (ЭКО) и естественной беременности позволяет лучше понять, как эти два процесса могут различаться.
При естественной беременности уровень ХГЧ начинает повышаться примерно через 6-10 дней после зачатия, достигая пика на 8-11 неделе беременности. В норме уровень ХГЧ удваивается каждые 48-72 часа в первые недели беременности. Это увеличение связано с развитием эмбриона и формированием плаценты, которая начинает активно вырабатывать этот гормон.
В случае ЭКО уровень ХГЧ также начинает повышаться после имплантации эмбриона, однако его динамика может отличаться. В зависимости от качества эмбрионов и успешности процедуры, уровень ХГЧ может быть как выше, так и ниже, чем при естественной беременности. Например, при успешной имплантации эмбриона уровень ХГЧ может расти быстрее, чем при естественной беременности, что может быть связано с тем, что в процессе ЭКО часто используется несколько эмбрионов, что увеличивает общее количество вырабатываемого гормона.
Однако, если уровень ХГЧ при ЭКО не увеличивается должным образом, это может указывать на проблемы, такие как замершая беременность или внематочная беременность. В таких случаях врачи могут рекомендовать дополнительные исследования и наблюдение за состоянием пациентки. Важно отметить, что уровень ХГЧ может варьироваться у разных женщин, и его интерпретация должна проводиться с учетом индивидуальных особенностей.
Сравнение уровней ХГЧ также может помочь в оценке эффективности процедуры ЭКО. Например, если уровень ХГЧ значительно ниже ожидаемого, это может свидетельствовать о том, что эмбрион не прижился или произошли другие осложнения. В таких случаях врач может рекомендовать дополнительные процедуры или изменения в подходе к лечению.
Таким образом, уровень ХГЧ является важным маркером как при естественной беременности, так и при ЭКО. Однако его интерпретация требует внимательного подхода и учета множества факторов, включая индивидуальные особенности пациентки и конкретные условия проведения процедуры.
Рекомендации по дальнейшим действиям при аномальных показателях ХГЧ
После проведения процедуры экстракорпорального оплодотворения (ЭКО) контроль уровня хорионического гонадотропина человека (ХГЧ) является важным этапом, который позволяет оценить успешность имплантации эмбриона и развитие беременности. Однако иногда результаты анализа могут оказаться аномальными, что вызывает у пациентов множество вопросов и переживаний. Важно знать, как правильно реагировать на такие ситуации.
Если уровень ХГЧ ниже ожидаемого, это может указывать на несколько возможных сценариев. Во-первых, это может быть признаком того, что имплантация не произошла, и беременность не наступила. Во-вторых, низкий уровень может свидетельствовать о биохимической беременности, когда оплодотворение произошло, но эмбрион не смог развиваться. В этом случае рекомендуется повторный анализ через 48 часов, чтобы оценить динамику изменения уровня ХГЧ. Если уровень продолжает снижаться, это подтверждает отсутствие беременности.
С другой стороны, если уровень ХГЧ значительно выше нормы, это может указывать на многоплодную беременность или, в редких случаях, на наличие патологии, такой как молярная беременность. В таких ситуациях также важно провести повторный анализ, чтобы отслеживать динамику. Если уровень ХГЧ продолжает расти, это может подтвердить наличие беременности, но для уточнения ее состояния могут потребоваться дополнительные исследования, такие как ультразвуковое исследование.
При получении аномальных результатов анализа ХГЧ важно не паниковать и не делать поспешных выводов. Рекомендуется обратиться к врачу, который сможет объяснить результаты и предложить дальнейшие шаги. Врач может назначить дополнительные анализы, такие как УЗИ, для более точной диагностики состояния. Также может потребоваться консультация с репродуктологом или другим специалистом, чтобы обсудить возможные причины аномальных показателей и варианты дальнейшего лечения.
Кроме того, важно помнить о психологическом аспекте. Процесс ЭКО и ожидание результатов могут быть эмоционально тяжелыми. Поддержка со стороны близких, а также профессиональная помощь психолога могут оказать значительное влияние на общее состояние пациента в этот период.
В заключение, аномальные показатели ХГЧ после ЭКО требуют внимательного подхода и дальнейшего наблюдения. Своевременное обращение к специалисту и выполнение всех рекомендаций помогут разобраться в ситуации и принять правильные решения для дальнейших действий.


